NDA MATHEMATICS 2014 PAST QUESTIONS AND ANSWERS

1.
ANSWER: --
2. Find the value of x for
which the function y= x3- x has a minimum value.
A. -√3/3
B. -√3/3
C. -√3/3
D. √3
ANSWER: C
3.
ANSWER: --
4. If the maximum value of y= 1 + hx - 3x2
is 13. Find h.
A. 13
B. 12
C. 11
D. 10
ANSWER: B
5. How many two-digit numbers can be formed from the
digits 0, 1, 2, 3. If a digit can be repeated and no number may begin with 0?
A. 4
B. 12
C. 16
D. 20
ANSWER: B
6. The sum of four numbers is 1,2145. What
is the average expressed in base five?
A. 114
B. 141
C. 401
D. 411
ANSWER: B
7. Given:
U= {Even numbers between 0 and 30}
P={Multiples of 6 between 0 and 30}
Q={Multiples of 4 between 0 and 30}
Find (PꓴQ)’
A. {2,10,14,22,26}
B. {0,10,14,22,26}
C. {2,4,14,18,26}
D. {0,2,6,22,26}
ANSWER: --
8. x varies directly as the product of u and y and
inversely as their sum. If x =3 when u =3 and v= 1, what is the value of x if u
= 3 and v = 3?
A. 3
B. 4
C. 6
D. 9
ANSWER: C
9. Find the range of the values of x satisfying the
inequalities 5+x ≤ 8 and 13 + x ≥ 7
A. -3 ≤ x ≤ 3
B. 3 ≤ x ≤ 6
C. -6 ≤ x ≤ 3
D. -6 ≤ x ≤ -3
ANSWER: C
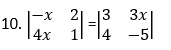
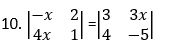
Find the value of x
A. 5
B. 2
C. -2
D. -5
ANSWER: --
11. What is the maximum error in the number 0.09800
ft3, assuming that it is recorded accurately?
A. 0.0005 ft3
B. 0.0005 x 108 ft3
C. 0.000005 ft3
D. 0.00005 ft3
ANSWER: C
12. Udoh deposited ₦1500.00 in the bank. At the end of
5 years, the simple interest on the principal was ₦5500. At what rate per annum
was the interest paid?
A. 11%
B. 71/3%
C. 5%
D. 31/2%
ANSWER: B
13. A number of pencils were shared among Bisi, Sola
and Tunde in the ratio 2:3:5 respectively, If Bisi got 5, how many were shared
out?
A. 15
B. 25
C. 30
D. 50
ANSWER: B
14. In 1984, Ike was 24 years old and his father was
45 years old, in what year was Ike exactly half his father’s age?
A. 1982
B. 1981
C. 1979
D. 1978
ANSWER: B
15. If U and V are two distinct fixed points and W is
a variable point such that UWV is a straight angle. What is the locus of W?
A. The perpendicular bisector of UV
B. A circle with UV are radius
C. A line parallel to the line UV
D. A circle with the line UV as the diameter
ANSWER: A
16. Find the mean of the data :7, -3, 4, 2, 5, -9, 4,
8, -6, 12
A. 4
B. 3
C. 3
D. 1
ANSWER: C
17.

The distribution above shows the number of days a
group of 260 students were absent from school in a particular term. How many students
were absent for at least four days in the terms?
A. 210
B. 160
C. 120
D. 40
ANSWER: B
18. A number was chosen at random from the numbers 1 to
30 inclusive. What is the probability that the number will be divisible by 5?
A. 1/30
B. 1/5
C. 5/30
D. 1/3
ANSWER: B
19. A rectangular picture 6cm by 8cm is enclosed by a France
½ cm wide, calculate the area of the frame.
A. 15 sq.cm
B. 20 sq.cm
C. 13 sq.cm
D. 16 sq.cm
ANSWER: A
20. For what values of x is x + 3(2-x) ≥ 4 – x?
A. x = 0
B. x ≤ 1
C. x ≥ 2
D. x ≤ 2
ANSWER: C
22. Evaluate log 2/3 (27/8)
= x
A. x = 2
B. x = -3
C. x = -2
D. x = 3
ANSWER: B
23. Perform the indicated operations:
A. ½ + i/2
B. 1/2- i/2
C. 1/3 – i/3
D. 1/3 + i/3
ANSWER: B
A. 1
B. -1
C. 2
D. 3
ANSWER: B
25. A car of mass 1000kg has a uniform acceleration of
3m/s2. Find the external force applied to the car.
A. 4 x 103 N
B. 3 x 10 N
C. 3 x 10-3 N
D. 4 x 10-3 N
ANSWER: B
26. Halima scored the following marks in various subjects:
X,72, 60, 73 and 90 and have an average of 70%. Find the value of X.
A. 35
B. 45
C. 55
D. 65
ANSWER: C
27. A student obtained the following grade points out
of 5 points: 3, 5, 4, 5, 5, 3, 1, 2, 4 and 4. Find the average grade point for
this student.
A. 4.0
B. 4.05
C. 4.50
D. 3.50
ANSWER: A
28. Find the geometric mean of the numbers 3, 9 and 1.
A. 5
B. 2
C. 4
D. 3
ANSWER: D
29. Find the harmonic mean of the numbers :3, 4, 5, 6
correct to 2 d.p.
A. 4.21
B. 4.28
C. 4.12
D. 4.82
ANSWER: A
30. A cadet jogged at 20km/h from Old Site to New Site
and on his return, he jogged at 15km/h. Find his average speed for the jogging exercise.
A. 172/9 km/h
B. 17 1/7 km/h
C. 173/9 km/h
D. 17 km/h
ANSWER: B
31. The points of intersection between 3x -y =7 and x
+ 2y -4 = 0 is
A. (3, 5)
B. (1/, 18/7)
C. (7/18, 14/10)
D. (18/7, 10/14)
ANSWER: D
32. The slope of vertical line is given as
A. undefined
B. Ꚙ
C. -Ꚙ
D. none
ANSWER: A
33. The equation of the line AB passing through A(1,
-1) and B (-1, -1) is
A. 2y + 8x =5
B. y + x =7
C. y=4x-5
D. 8x + y = 10
ANSWER: C
34. The equation of a circle with centre C (2, 1) and
radius r = 6 is
A. x2 + y2 – 4x -2y = 31
B. 2x2 + y2 – 4x = 8
C. x2 – y2 - 8x – 2y = 31
D. x2 + y2 -8x - 4y = 16
ANSWER: A
35. Which of the following statement is correct in Mathematics?
A. a/0
B. 0/0
C. a/b. 1/0
D. 0/a
ANSWER: D
36. The equation ax5 + ax3 + b is called
A. polynomial
B. binomial
C. trinomial
D. All of the above
ANSWER: A
37. In the figure below PQ and QR are chords of the
circle PQR. QRS is a straight line and PR equals to RS. <PSR is 20˚. What is
the size of <POQ ?
A. 70 ˚
B. 90 ˚
C. 80 ˚
D. 60 ˚
ANSWER: C
38. Find the gradient ( or slope) of the line passing
through the given points (3, -5) and (8, 15)
A. 4
B. 5
C. 6
D. 3
ANSWER: A
39. A pole of height 6m casts a shadow 4.5m long, find
the height of a crane whose shadow is 75m long.
A. 80m
B. 90m
C. 100m
D. 110m
ANSWER: C
40. Find the area of the sector of a circle of radius
8cm subtending an angle of 60 ˚ at the centre.
A. 33.52 cm2
B. 35.60 cm2
C. 30.50 cm2
D. 40 cm2
ANSWER: A
Share This Post: If you believe this post will be helpful to others, please share it using the buttons below!